AGU 2024, Washington D.C
2024-12-12
This talk was funded by the USDA Natural Resources Conservation Service (NRCS).
SIMWE (SIMulation of Water Erosion Model) is a spatially distributed processes-based overland flow model that simulates water flow.
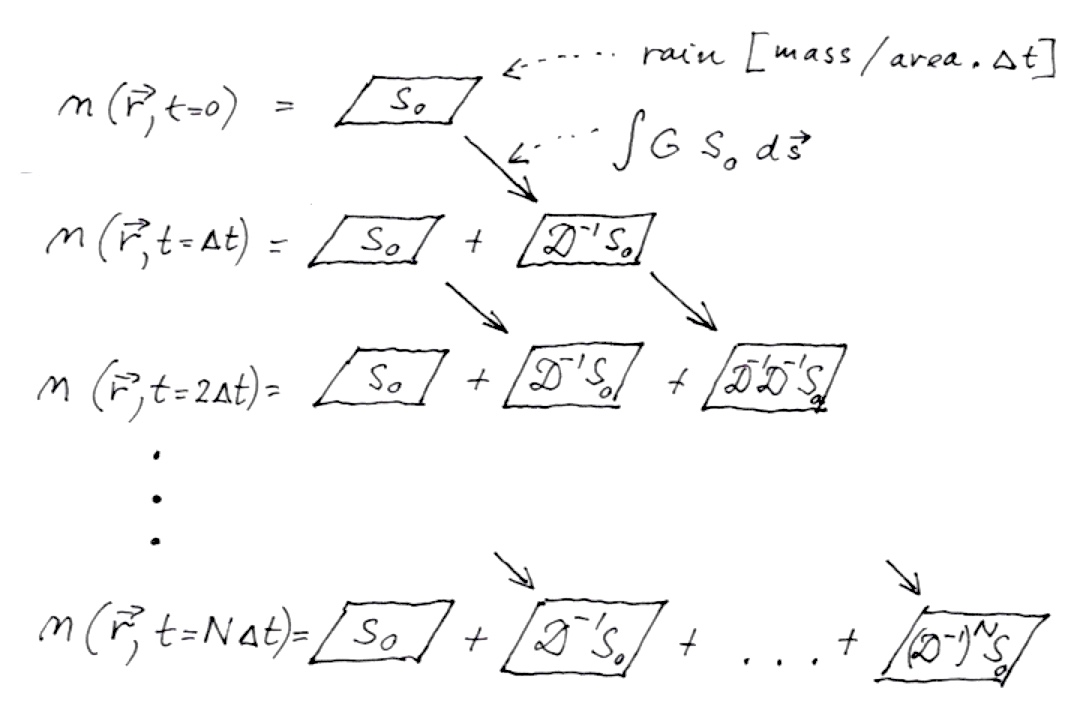
SIMWE uses Green’s function to solve the St. Venant system of equations via a Monte Carlo path sampling method.

Water flows according to the shallow water bivariate continuity equation (mass conservation), incorporating drift and diffusion, which allows the elevation model to remain unmodified (e.g., no sink and fill processing).
Solution of SWF equation incorporates spatially variable flow velocity
The accuracy of overland flow simulations using path sampling methods depends heavily on particle density. However, varying particle density and spatial scale can be computationally demanding.
Error is proportional to \(1/\sqrt{N}\) where \(N\) is number of particles.

GRASS GIS v8.5
Geospatial Processing Engine
C and Python APIs
Open Source GPL v3
Parallelized (OpenMP)
SIMWE implemented as GRASS module r.sim.water
| Component | Specification |
|---|---|
| Laptop | System76 Serval WS |
| OS Name | Pop!_OS 22.04 LTS |
| OS Type | 64-bit |
| Memory | 64.0 GiB |
| Processor | 13th Gen Intel® Core™ i9-13900HX × 32 |
| Graphics | NVIDIA Corporation / Mesa Intel® Graphics (RPL-S) |
| Disk Capacity | 8.0 TB |
gs.run_command(
"r.sim.water",
elevation=elevation,
dx=dx,
dy=dy,
rain_value=50, # mm/hr
infil_value=0.0, # mm/hr
man_value=0.1,
nwalkers=particles,
niterations=niterations, # duration (minutes)
output_step=OUTPUT_STEP, # minutes
depth=depth, # m
discharge=disch, # m3/s
random_seed=random_seed,
nprocs=30,
flags="t",
)GRASS GIS Python API
TRI (Terrain Ruggedness Index): measures the differnce in elevation between cells using a moving window (Riley et al., 1999).
Area Ruggedness Scale (ARS): is the mean TRI (Terrain Ruggedness Index) for the entire study area.

| Site Details | |
|---|---|
| EPSG | 26911 |
| Res. | 1 \(m\) |
| Cells | 295,126 |
| Area | 0.3 \(km^2\) |
| ARS | 0.14 |
| Elevation | |
|---|---|
| Min - Max | 333.12 - 371.12 \(m\) |
| Range | 38.0 \(m\) |
| Mean | 349.67 \(m\) |
| Std | 7.96 |

| Site Details | |
|---|---|
| EPSG | 32614 |
| Res. | 3 \(m\) |
| Cells | 170,244 |
| Area | 1.53 \(km^2\) |
| ARS | 0.13 |
| Elevation | |
|---|---|
| Min - Max | 376.69 - 396.57 \(m\) |
| Range | 19.9 \(m\) |
| Mean | 386.71 \(m\) |
| Stddev | 5.03 |

| Site Details | |
|---|---|
| EPSG | 26917 |
| Res. | 10 \(m\) |
| Cells | 572,246 |
| Area | 57.17 \(km^2\) |
| ARS | 5.5 |
| Elevation | |
|---|---|
| Min - Max | 652.8 - 1597.6 \(m\) |
| Range | 944.8 \(m\) |
| Mean | 1043.83 \(m\) |
| Stddev | 230.3 |

| Site Details | |
|---|---|
| EPSG | 26910 |
| Res. | 1 \(m\) |
| Cells | 380,014 |
| Area | 0.38 \(km^2\) |
| ARS | 0.37 |
| Elevation | |
|---|---|
| Min - Max | 188.61 - 415.64 \(m\) |
| Range | 227.03 \(m\) |
| Mean | 282.1 \(m\) |
| Stddev | 56.1 |

| Site Details | |
|---|---|
| EPSG | 32613 |
| Res. | 8 \(m\) |
| Cells | 5,378,306 |
| Area | 324.74 \(km^2\) |
| ARS | 0.07 |
| Elevation | |
|---|---|
| Min - Max | 1104.0 - 1165.3 \(m\) |
| Range | 61.3 \(m\) |
| Mean | 1134.9 \(m\) |
| Stddev | 13.13 |
| Site | ARS |
|---|---|
| tx069-playas | 0.07 |
| clay-center | 0.13 |
| SJER | 0.14 |
| SFREC | 0.37 |
| Coweeta | 5.5 |

Evaluating
Particles have a greater impact on compute time than resolution.
1m Resolution, Particle Density: 4x
SJER - Mean Depth, 1m Resolution, Particle Density: 4x






0.25x





1x





4.0x





1m Resolution, Particle Density: 4x

0.25x





1x





4.0x





